成果简介
在“双碳”目标的大背景下,发展可再生能源是走向低碳社会的必由之路。氢能以其高热值、清洁、高效等优点,被视为最具发展潜力的二次能源之一。氢能产业链包括制氢、储氢、运氢和用氢等关键环节,其中氢气的储运是限制氢能发展的关键因素之一。相比于传统高压储氢技术,固态储氢技术是一种新型的氢能存储方式,它是利用储氢材料与氢之间的化学反应或者物理/化学吸附作用对氢进行固态储存,具有储氢密度高、安全性好和操作方便等优点,是最具发展前景的储氢技术。镁基储氢材料具有储氢容量高(MgH2的理论质量和体积储氢密度为7.6wt.%和110kg/m3)、成本低,吸放氢循环稳定性好等优点,被认为是最有前途的固态储氢材料之一。然而,由于Mg/MgH2体系的高热稳定性,缓慢的吸/放氢动力学性能,导致其实际应用受限。
太阳集团城网站2017新能源材料团队基于镁基储氢材料具有高能量密度和良好吸放氢循环性的特点,开展了一系列镁基储氢材料吸放氢热力学动力学性能调控研究。提出以碳源、过渡金属盐为前驱体,通过碳化、热解一体化制备具有纳米多孔结构的碳-过渡金属催化材料。利用多孔碳基材料和负载过渡金属独特的结构,以及多孔碳、过渡金属等活性物质所构筑的多相多尺度催化剂对镁基材料吸/放热力学动力学性能进行调控,揭示了碳-过渡金属复合材料对镁基材料吸/放氢热力学动力学性能的作用机理,为开发新型高效、在温和的条件下实现可逆储氢的镁基储氢材料提供技术支持。相关研究工作发表于国际知名期刊Chemical Engineering Journal、Journal of Materials Chemistry A以及Journal of Magnesium and Alloys。
应用前景
在低碳经济发展的大背景下,发展清洁能源,减少碳排放,在全球范围内已经达成共识。氢能作为清洁、高效、安全、可持续的二次能源,可为化工、冶炼、等传统工业提供深度脱碳,发展氢能,符合当今人类社会绿色环保的发展理念。尤其是在汽车市场,随着燃料电池技术的日益成熟与发展,以氢气为燃料的电动汽车也将迅速发展起来,这就要求必须有安全高效的贮氢系统与之相匹配。传统的储氢方式无法满足车载氢燃料电池技术的要求。相比之下,固态储氢是一种新型的储氢技术,储氢材料作为氢能存储载体,具有贮氢密度高、安全高效及环境友好等优点,将成为未来车载燃料电池的氢载体。
成熟度
本团队基于储氢材料的研究已有多年的积累,可制备出在温和条件下进行储氢的高容量、长寿命镁基储氢材料,并能对材料的储氢热力学动力学性能进行调控。
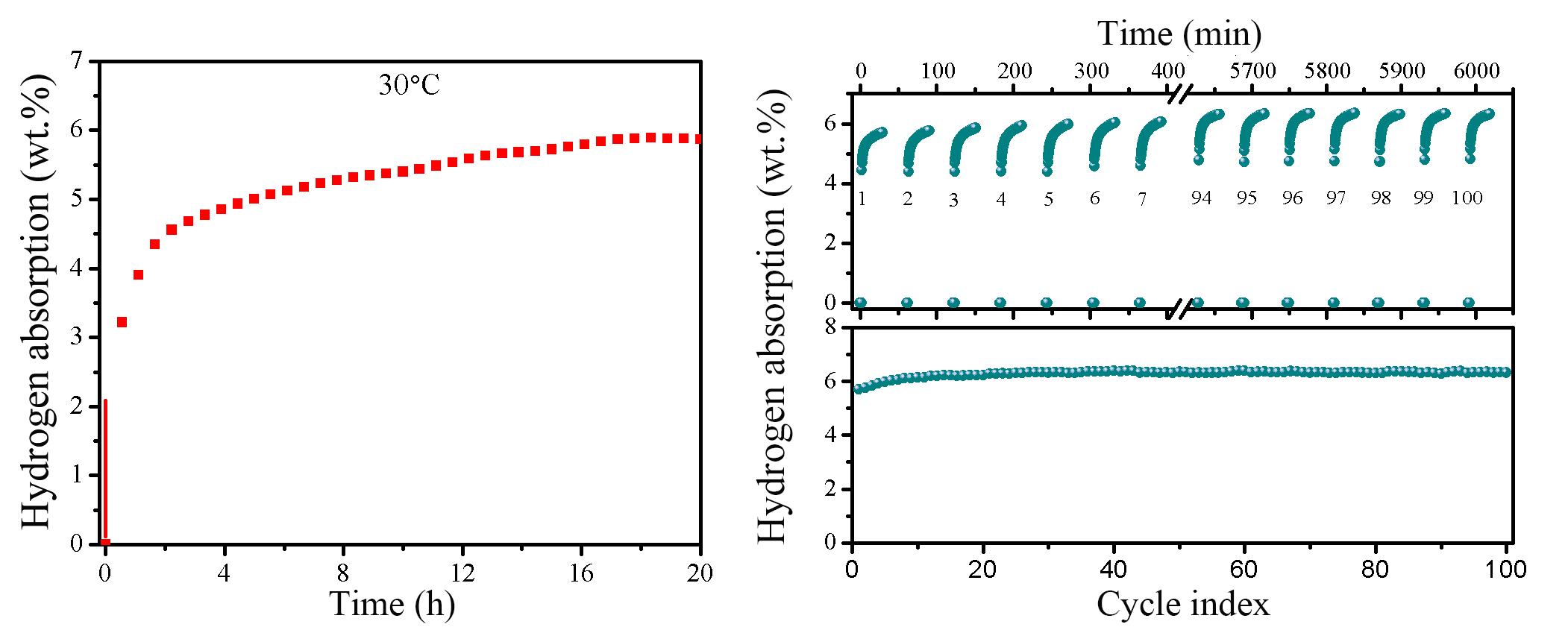
成果展示

图1 材料的吸氢曲线图和吸放氢循环图
成果完成人
物理科学与工程技术学院:蓝志强
成果转化,请联系成果与合作处,联系人:王老师,联系电话:0771-3810467。